贵阳红黏土介-微观结构分形特征研究
左双英
1
, 张彦召
1
, 赵蕊
2
, 张静
1
Study on fractal characteristics of meso-microstructure of red clay in Guiyang
ZUO Shuangying
1
, ZHANG Yanzhao
1
, ZHAO Rui
2
, ZHANG Jing
1
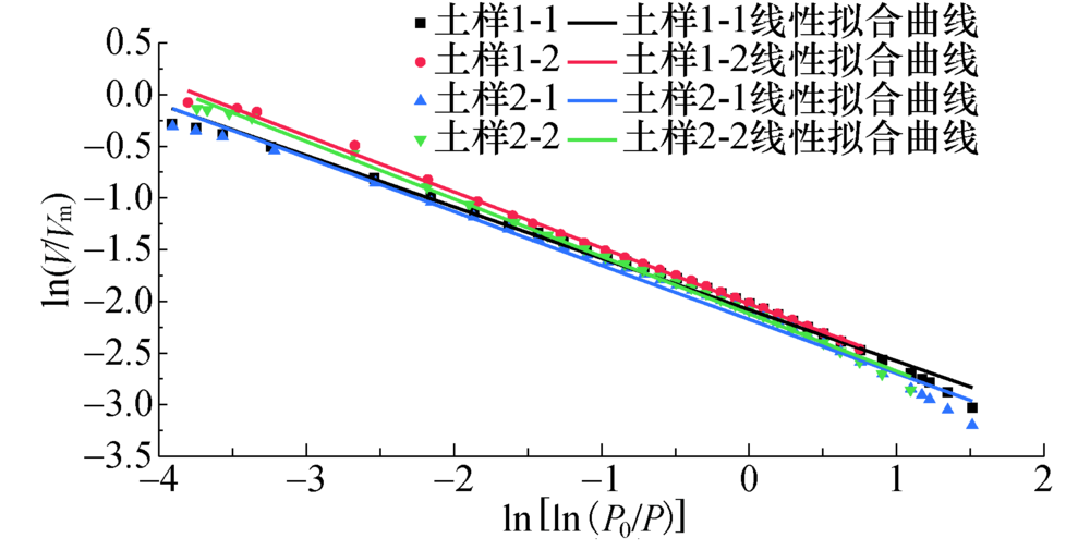
贵阳红黏土孔隙(累积体积)分形分布及线性拟合曲线图