第一作者:冯芬玲(1973—),女,河北邯郸人,副教授,博士,博士生导师.研究方向为交通运输规划与管理.email:FFL0731@163.com.
为了更科学地分析评估铁路快运货物在途安全风险,将二元决策图(Binary Decision Diagram,BDD)应用到风险故障树分析(Fault Tree Analysis,FTA)中,构建铁路快运货物损失风险评估模型.通过对快运货物损失情况统计,分析得出货物发生损失风险的直接因素,建立风险故障树.利用香农(Shannon)分解和ite结构选用合适的事件排序方法将故障树转化为BDD.以快运货物损坏风险为例,遍历BDD每个节点计算得出各底事件的概率(Birnbaum)测度和顶事件的发生概率,与FTA方法计算结果对比验证了该方法的正确性及在计算效率方面的优势.实验结果表明:包装质量、恶劣天气和货物对环境的高要求是导致铁路快运货物损坏的关键因素,并对此提出相应的改进措施.
To scientifically deal with the safety risk of railway express cargo in transit, Binary Decision Diagram(BDD) is applied to the risk Fault Tree Analysis(FTA) and constructed the risk evaluation model of railway express cargo loss. After analyzing the statistics of express cargo loss, the direct factors of the loss risk of express cargo are obtained and the risk fault tree is established. Using Shannon’s expanded theorem, if-then-else structure and appropriate event sorting method to transform the fault tree into a BDD. Taking the damage risk of express cargo as an example, the Birnbaum importance of bottom event and the risk probability of the top event are calculated by traversing each node of the BDD. Comparing with FTA, the experiment results show the correctness and its advantages in computational efficiency of BDD. According to the calculation results, packaging quality, adverse weather and high environmental requirements are the key factors which lead to damage to railway express cargo. Finally, the corresponding improvement measures are proposed.
近年来, 随着中国铁路总公司主动适应经济发展新常态, 大力推进供给侧结构性改革、积极开展快运业务, 铁路货源结构中快运货物运量和种类开始不断增加.但根据实地调研, 快运货物由于具有品类
多、附加值高、对环境要求高等特点更容易发生货损和货差等情况, 其损失量占全部货物损失量的比例高达30%~70%.高货损率不仅影响客户利益, 更直接影响着铁路的声誉和铁路在快运市场中的竞争力.因此, 采用科学合理的方法分析在运输过程中导致快运货物损失的关键因素并预测快运货物损失发生的概率显得尤为重要.
目前, 针对铁路运输安全评价许多学者做了大量研究.文献[1, 2]分别采用熵权模糊综合评价法和改进区分矩阵的粗糙集属性约简算法对铁路危险货物运输进行预警, 给出了安全状态的评判结果, 但未准确计算出事件发生风险的概率.文献[3]构建了基于动态模糊理论的评价模型可以直观反映出铁路的安全等级及变化趋势, 文献[4]构建了基于层次分析法和BP神经网络的铁路货运安全风险评价模型.但这些方法是根据业务流程建立对应的安全评价指标体系, 以专家打分确定指标权重并量化指标值, 主观性较强, 增加了评价结果的不确定性.文献[5]从事故率、伤亡率和损失数量3方面建立了基于结果的铁路安全评价指标体系, 避免了主观因素的影响, 但是选取的指标未能直接反映出导致安全风险发生的因子, 导致提出有效的改进措施相对困难.文献[6]将故障树和定量分析法相结合应用到高速铁路事故分析, 但在故障树分析中随着事件复杂度和影响因素数量的增加会产生显著的“ 组合爆炸” , 甚至在计算机上也难以完成.
综上, 为克服上述弊端, 本文作者提出了基于二元决策图(Binary Decision Diagram, BDD)的铁路快运货物损失风险评估方法, 首先采用故障树分析法以快运货物损坏类型为切入点分析确定导致安全风险发生的直接因素, 再将故障树转化为BDD结构, 利用BDD算法简化运算量准确快速得到每个因素的结构重要度、概率重要度和损失风险发生的概率, 并据此提出降低快运货物损坏风险的措施.
铁路快运货物主要涉及饮料、食品、家电、家用物品、汽车配件及服装等, 由于品类丰富、形式多样、附加值高且对环境要求较高, 较容易发生货损.根据实地调研, 发现快运货物在运输途中主要存在损坏、丢失、被盗、火灾及其他等5类安全风险.其中, 损坏风险主要是货物或包装发生破损变形、货物湿损、货物变质或污染; 丢失风险主要是少件、全部灭失; 被盗风险包括货场被盗、货车被盗; 火灾风险包括货物自燃、存在点火源导致; 其他风险包括货物误送、延迟风险等.由数据统计可知, 快运货物丢失、损坏和被盗3种情况最为严重, 占货损比例达95%左右, 其中丢失和损坏2项占比高达80%.导致快运货物发生损失的原因主要可以归纳为“ 人、机、环” 3个方面, 其中人员操作不达标或人的不安全行为、设备的不安全状态和环境的不安全条件等发生或相互影响就会导致不同种类的安全风险.
故障树作为一种常用的系统安全性和可靠性分析的工具[7], 在危险品泄漏[8]、机械系统失效[9]、系统优化[10]等系统风险研究中有着广泛应用.本文将故障树引入铁路快运货物损失风险分析中, 按照相应规则构建风险故障树:将快运货物损失风险状态作为故障树分析的目标, 逐层分析直到找出导致货损发生的基本原因, 即数据已知或便于统计的底事件.
传统的故障树分析(Fault Tree Analysis, FTA)方法通常采用结构重要度表示底事件对顶事件的影响程度.在其他底事件状态保持不变的情况下, 当第
式中:
FTA方法计算顶事件概率的主要思路是, 先用计算得到的所有最小割集以最简布尔表达式表示顶事件, 然后将式子化为互不相交的布尔和, 再计算概率.
二元决策图(BDD)模型的提出有效解决了大型系统故障树分析中存在的“ 组合爆炸” 问题[12], 具有便于计算编程、计算效率高、结果精度高的特点[13].因此, 针对影响因素较为复杂的铁路快运货物损失风险, 引入基于香农(Shannon)分解的布尔函数数据结构— — BDD.Shannon分解可以实现对目标事件的不交化分解工作, 布尔函数是一种高效的存储结构, 可以有效减少冗余状态.
三元运算符(if-then-else operator, ite operator)是故障树转化为BDD时基于Shannon分解的重要工具.根据Shannon分解定理, 每个故障树结点为一个ite结构, Shannon分解与ite结构的形式为
其中, ite
在求解顶事件BDD时, 要遵循两个运算规则.假设
式中:
将铁路快运货物损失风险评估分为两部分:底事件重要度分析和快运货物损失风险概率分析.第一部分是根据计算得到的底事件概率重要度(Birnbaum测度)判断底事件对货物损失风险的影响程度, 由此确定影响系统状态变化的关键事件; 第二部分是根据实际运营中底事件发生的概率统计值计算得到快运货物的损失概率, 以此作为货物损失风险高低的衡量依据.
1.4.1 铁路快运货物损失风险的底事件重要度
Birnbaum测度是指系统部件的可靠性变化对整个系统状态概率变化的影响程度.Birnbaum测度值越大, 代表底事件发生概率变化对顶事件状态的影响程度越大.当故障树顶事件受
式中:
在引入BDD结构分析时, 可以将Birnbaum测度进一步表示为
式中:
故障树转化为BDD后, 遍历故障树
式中:
1.4.2 铁路快运货物损失风险概率
引发快运货物损失风险的各个底事件都是随机发生的, 因此可以用故障树顶事件发生的概率值表示快运货物损失风险.由于故障树顶事件可以表示为布尔函数, 因此该布尔函数取逻辑真时的概率即为顶事件概率.公式如下
式中:
故障树转化为BDD后, 遍历故障树
对快运货物损坏、丢失、被盗及火灾4大子风险进行分析, 并以损坏风险为例对以上模型展开具体说明.
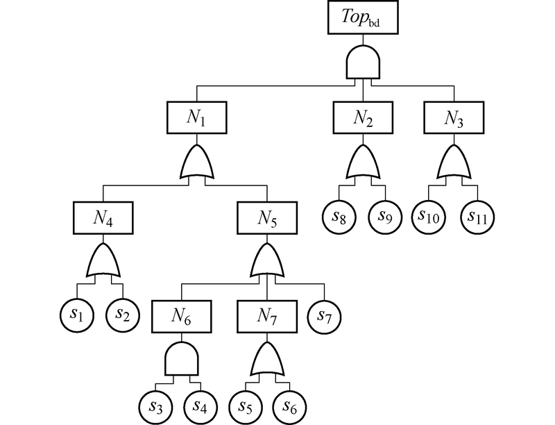
针对铁路快运货物损失风险进行分析并构建各子风险故障树.如图1~图4所示, 其中, 符号说明分别对应表1~表4.
| 表1 快运货物损坏风险故障树符号说明 Tab.1 Symbolic description for fault tree of the damage risk of express cargo |
| 表2 快运货物丢失风险故障树符号说明 Tab.2 Symbolic description for fault tree of the loss risk of express cargo |
| 表3 快运货物被盗风险故障树符号说明 Tab.3 Symbolic description for fault tree of the theft risk of express cargo |
| 表4 快运货物火灾风险故障树符号说明 Tab.4 Symbolic description for fault tree of the fire risk of express cargo |
以快运货物损坏风险为例, 如图1所示, 快运货物损坏风险故障树对应的逻辑表达式为
式中:
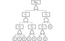
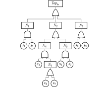
根据故障树顶事件的布尔函数采用相邻底事件优先排序法[14], 可以快速将快运货物损坏风险故障树转化为BDD结构, 如图5所示.
为验证本文方法的正确性与优化率, 分别采用传统的FTA方法与BDD方法对快运货物损坏风险进行计算对比, 实验结果如表5所示.
计算过程可通过Matlab实现.根据实验结果, 采用BDD结构计算的结果与采用传统的FTA方法求解得到的重要度排序相吻合, 都为
| 表5 快运货物损坏风险的底事件结构重要度大小对比结果 Tab.5 Comparison results of structural importance of bottom event in damage risk of express cargo |
图5中, 左边矩形框内的“ 1” 分支为顶事件发生, 可以快速得到表示顶事件且互不相交的表达式.
根据中国铁路武汉铁路局集团有限公司H车务段调研情况, 2016年该车辆段共计运输快运货物1 786单, 根据式(4)~式(8), 遍历图5所示快运货物损坏风险的BDD结构可以得到每个底事件的Birnbaum测度及顶事件发生的概率.计算结果如表6所示.
| 表6 快运货物损坏风险的底事件重要度 Tab.6 Basic event importance of the damage risk of express cargo |
根据本文提出的方法, 可得铁路快运货物损坏风险为0.0893, 底事件的概率重要度顺序为
在运输生产过程中, 首先根据计算出的结构重要度确定影响快运货物损坏风险的几大关键因素, 包括“ 未包装或包装有缺陷” 、“ 包装强度不达标” 、“ 雨雪等恶劣天气影响” 和“ 货物对环境要求较高” ; 然后再计算各基本事件的概率重要度用以制定有效的降低快运货损风险的措施, 通过规范工人装卸操作、改善提升棚车质量、提高货物装卸效率可最大程度降低快运货物损坏的风险.与此同时, 将包装质量监督、恶劣天气监控预警、人员操作培训及考核、运输条件完善这4项内容作为货损风险管理的重点.
1)包装质量、雨雪等恶劣天气和货物对环境要求高是导致铁路快运货物损坏的关键问题.针对包装问题, 铁路部门一方面应尽快出台各类快运货物的包装规范以提高货物的包装强度和特殊货物包装的防水性, 另一方面需加强对工人装卸操作的培训, 尽量避免因人为操作不当导致的货物碰撞; 针对雨雪天气, 一方面应加强对恶劣天气的预警, 提前准备应对措施如加盖篷布等, 另一方面应改善棚车质量减少因棚车漏雨导致的货物湿损; 运输对环境要求高的快运货物, 铁路部门应改善相应货车和货场的环境条件, 并提高货物装卸效率尽量减少此类货物的等待时间.
2)提出了基于BDD的铁路快运货物损失风险评估方法.利用Shannon分解定理及ite结构将故障树转化为BDD结构, 通过遍历BDD每个节点可高效准确计算出各个影响因子的重要度和货损风险概率; 将采用BDD方法的计算结果与传统的故障树分析法结果进行对比, 实验结果相吻合验证了本文方法的正确性并证明了BDD结构在简化计算过程、计算准确性和效率等方面具有较大优势.
3)结合结构重要度和Birnbaum测度的计算结果, 确定对货损影响程度大并且能有效降低货损风险的关键因素, 为铁路快运安全管理人员提供风险决策支持.
| [1] |
|
| [2] |
|
| [3] |
|
| [4] |
|
| [5] |
|
| [6] |
|
| [7] |
|
| [8] |
|
| [9] |
|
| [10] |
|
| [11] |
|
| [12] |
|
| [13] |
|
| [14] |
|

