第一作者:俞缙(1978—),男,江苏苏州人,博士,教授,博士生导师.研究方向为隧道力学.email:bugyu0717@hqu.edu.cn.
为定量判断二次支护时机,在围岩自承载系数基础上考虑岩石的流变力学性质,采用Boltzmann流变模型推导了围岩时变承载系数,研究了时间轴上围岩自承能力的变化过程和发挥程度.并以围岩时变承载系数为基础建立考虑时变效应的LDP和GRC曲线耦合新方法,定量得出二次支护时机及围岩时变承载系数间的相关关系.研究结果表明:1)不同隧洞断面处的围岩自承能力随时间变化趋势相似,都是开挖初期围岩自承能力迅速变弱,随后慢慢趋于稳定;经过相同的蠕变时间,距离开挖面越远,围岩自承能力越弱.2)同一隧洞断面处,时间越早围岩时变承载系数越大,围岩自承能力尚未充分发挥,不宜进行二次支护,即二次支护时机应该避开初期围岩自承能力变化剧烈时段.
In order to assess the secondary support time quantitatively,the time-varying self-bearing coefficient of surrounding rock is proposed based upon the Boltzmann rheological model,which aims to investigate the time-dependent process in which the surrounding rock’s self-bearing capacity changes and develops.It takes into consideration the rheological mechanics characteristic of rock based on the self-bearing coefficient of surrounding rock. Then, a new coupling approach between LDP and GRC considering time-dependent effect is established based upon time-varying self-bearing coefficient of surrounding rock, and the secondary support time versus the time-varying self-bearing coefficient of surrounding rock is accurately evaluated.The results show that:1)The change of self-bearing capability of surrounding rock over time is similar at different cross sections of tunnel, namely, self-bearing capacity of surrounding rock drastically reduces in the early excavation stage and then tends to be steadied.And the farther away from the excavation surface,the weaker the self-bearing capacity of surrounding rock is;2)The coupling analysis reveals that the sooner the secondary support is set up,the greater time-varying self-bearing coefficient is.It is not reasonable to carry out the secondary supporting structure when the time-varying self-bearing coefficient drops dramatically over time, because the self-bearing capability of surrounding rock cannot perform well then.
工程实践表明, 隧洞开掘后, 上覆岩层重量由支护物与洞室围岩共同承担, 大部分上覆岩层重量由洞室围岩承受, 支护物承担占比不大.这是因为洞室围岩存在着某种形式的自稳结构, 即围岩具有自承能力, 是承受围岩压力的主体[1, 2].传统的地下工程支护设计中, 计算抗力系数时不考虑围岩自承能力, 导致设计偏于保守.为此, 学者们提出了围岩自承载系数概念[3].
收敛约束法是研究由开挖引起的围岩应力、位移和支护压力的有效途径, 围岩纵向变形(Longitudinal Displacement Profiles, LDP)曲线与位移特征曲线(Ground Reaction Curves, GRC)是收敛约束法的两大部分.LDP 曲线主要与隧道开挖面空间效应(即开挖面附近由隧道开挖引起的围岩收敛位移)有关; GRC曲线则描述了平面状态下圆形隧道支护力与围岩横断面变形的关系.由于空间复杂性, LDP公式常由数值模拟、实测数据拟合确定.如Panet等[4, 5, 6]通过有限元及有限差分方法拟合得出LDP公式; Vlachpoulos等[7]考虑了围岩最大塑性区半径的影响而建立的V-D(09)公式对弹性和弹塑性围岩均适用, 所以优点明显; Chern等[8, 9]根据实测数据且考虑了围岩塑性变形得出关于LDP曲线的经验公式.GRC 曲线可在二维平面条件下获得, 分为3类:第一类为理想弹塑性模型, 如Brown等[10]采用非关联流动法则给出圆形洞室解析解; Carranza等[11]考虑了塑性区域内弹性应变增量, 求出较准确的洞室闭合解; 第二类为弹脆塑性模型, 如Park等[12]分别基于3种假设求取塑性区域内弹性应变分量, 并比较所得的3种弹塑性解析解; Chen等[13]利用塑性理论在考虑塑性区弹性应变变化的基础上得出闭合解; Zhang等[14]采用统一强度准则推导了弹脆塑模型的GRC曲线; 第三类为弹塑性应变软化模型, 如Lee等[15]按照内部自动满足平衡方程的方法将围岩塑性区分为厚度不同的同心圆, 采用有限差分法求得圆形洞室位移解; Han等[16]考虑弹塑性耦合, 通过改进Lee等[15]的程序得出简化解; 崔岚等[17]考虑了非线性应变软化, 通过解析与数值相结合的办法探讨了围岩弹塑性力学行为; 张常光等[18]基于统一强度准则给出应变软化模型下的GRC曲线函数式, 将LDP和GRC耦合得到某一隧道断面处的虚拟支撑力, 借此对支护时机和支护力大小作出判断.
在围岩支护设计过程中, 对岩体自承能力的判断尤为重要.但实际上隧道开挖属于三维空间和时间组成的复杂四维问题, 上述LDP和GRC分析方法均认为围岩自承系数为一定值.然而, 众所周知, 岩体是具备流变体时变力学行为特性的地质体[19, 20].开挖卸荷后岩体由于具有流变性质, 自身承载能力的充分发挥应是一个时效过程, 当流变体的流变行为耗完外力功时, 围岩自承载能力才会趋于稳定, 即自承载能力充分发挥.既有研究在将LDP和GRC耦合时并未考虑围岩流变性质, 即忽略了围岩承载能力的时变性, 与围岩固有的自稳时变结构事实不符.
本文作者通过引入流变模型改进围岩自承载系数, 得到了围岩时变承载系数, 进而研究了围岩自承能力随时间的变化.最后提出围岩时变承载能力定量评估的LDP与GRC耦合新方法, 并对围岩自承能力发挥程度与二次支护时机的关系进行了分析.
王斌等[21, 22]指出围岩为“ 自稳时变结构” , 认为围岩自稳时变结构的质量随时间发生变化时, 系统会出现负阻尼的情况, 形成动力不稳定系统而诱发岩爆.而中等强度岩体与软弱岩体在高地应力作用下具有强流变性, 其自稳时变结构调整过程表现为强流变力学行为, 需要耗散外力功, 初期隧洞变形剧烈, 一段时间后变形逐渐缓慢[23].文献[3]借鉴抗力系数的概念提出了评价围岩承载能力的自承载系数K, 其表达式为
式中:p0为初始地应力; pi为支护力; u0为瞬间释放的弹塑性位移.K的物理意义是隧道洞壁处产生单位位移所需支护力的改变量.
因未考虑围岩的流变性质, 式(1)所得自承载系数不符合围岩自稳时变结构的事实.因此本文考虑了围岩流变力学性质, 引进流变模型, 推导出流变位移ur(R0, t)代替u0, 提出围岩时变承载系数K(t), 其物理意义是洞壁产生单位流变位移所需支护力的改变量.定义为
式中:p0为无穷远处的静水压力; R0为隧道半径.
求解的基本条件包括基本假设、强度准则和流变模型的选取.
1)力学模型建立的基本假设.
①深埋圆形隧道处于静水压力场, 大小为p0;
②围岩为均质、各向同性岩体.同时将围岩看成不可压缩材料, 即黏塑性区内的体积应变为0, 且不考虑应变硬化与应变软化的影响;
③圆形隧道轴向无限长, 即可以当作平面应变问题处理, 轴向应变ε z=0;
④围岩的黏弹塑性行为可以用服从统一强度理论的Boltzmann模型表征.力学模型如图1所示, 其中Rp为围岩塑性区半径, r为围岩黏弹性区半径.
2)统一强度准则.
为考虑隧道轴向应力的影响, 选取适用于各类岩土材料的统一强度准则(Unified Strength Theory, UST), 其主应力形式的表达式为[24]
当σ 2≤
当σ 2≥
式中:σ 1, σ 3分别为最大、最小主应力, σ 2为中间主应力; b为常数(0≤ b≤ 1), 反映中间主应力的影响.在轴对称平面应变条件下, 切向应力和径向应力σ θ , σ r分别是主应力σ 1和σ 3; 在塑性区[25]平面外的平面应力σ z为中间主应力σ 2.
结果表明, σ 2=(σ θ +σ r)/2> (σ θ +σ r)/2-(σ θ -σ r)sin φ /2, 式(4)可以进一步简写为
式中:M=
3)Boltzmann-UST黏弹塑性模型.
Boltzman-UST黏弹塑性模型(见图2)耦合了Boltzmann模型[25, 26]和塑性流动法则.此模型的重要假设是将材料的力学行为分为平均应力和偏应力2部分进行考虑[27, 28].即平均应力控制体积应变, 偏应力控制偏应变.图2中η K为开尔文动力黏度; GK为开尔文Hooke剪切模量; GH为Hooke剪切模量; c为黏聚力; φ 为内摩擦角;
应力方面
式中:σ m为平均应力, k=1, 2, 3; Sij为偏应力; σ ij由文献[24]给出; δ ij为克罗内克符号, i, j=1, 2, 3.
应变方面
式中:ε Vol为体应变, k=1, 2, 3; eij为偏应变, i, j=1, 2, 3.
Bonini等[27, 29]等指出材料的体积变形是服从线性Hooke定律和塑性流动准则的弹塑性变形.而偏应变由偏应力引起, 是服从Boltzmann模型和统一强度准则的黏弹塑性变形, 其表达式为
式中:ε Vol为体应变;
式(8)表明隧道围岩与时间有关的变形即黏弹性变形只取决于偏应力Sij.假定弹塑性变形平面应变假设成立, 服从统一强度准则.黏弹性应变为[30]
在黏弹性区和黏塑性区σ z=(σ θ +σ r)/2均成立[31].黏弹性区应力场为
其中:
式中:pyc为临界支护压力.
由平均应力σ m=(σ r+σ z+σ θ )/3和式(6)、式(9)、式(10)易得黏弹性径向应变
由几何方程ε r=du/dr可得黏弹区位移为
塑性区应力应变关系是非线性的, 不能被广义Hooke定律正确表征, 因此假设塑性区应力应变关系可以乘以一个表示非线性关系的塑性模数Φ [32], 即:
式中:Φ 为塑性模数;
假设围岩不可压缩, 塑性区体积应变为0, 且为计算方便, 不计塑性区弹性应变, 采用关联线性流动准则
将几何方程ε r=du/dr, ε θ =u/r代入式(17), 并解常微分方程得
式中J为积分常数.
从而有
由式(16)和式(19)得
在弹塑性交界面, 即r=Rp处, Φ =1[24], 代入式(20)可得
将(21)代入(20)得
统一强度理论下塑性区应力(R0≤ r≤ Rp)为[24]
则
将式(24)代入式(22)得到
将式(25)代入式(16), 再联立几何方程ε r =du/dr积分得到黏塑性径向位移为
根据式(15), 在弹塑性交界线处(r=Rp)产生位移量为
将式(26)和(27)相加, 得到黏塑性区的时效径向位移
当t=0时, 隧道洞壁处(r=R0)弹塑性位移可表示为
则洞壁处产生的总的径向位移为
假设开挖与支护同时完成, 在未架设二次支护的前提下进行围岩时变承载能力的分析, 故pi指虚拟支护力, 由式(2)可得
隧洞刚形成时, 即t=0时
有关参数参照文献[3]选取, 圆孔半径R0=3 m, 初始地应力p0=40 MPa, 围岩剪切模量GH=5 GPa, 黏聚力c=2.9 MPa, 内摩擦角φ =30° .取GK=GH=5 GPa, η K=16.67 GPa· d.
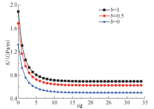
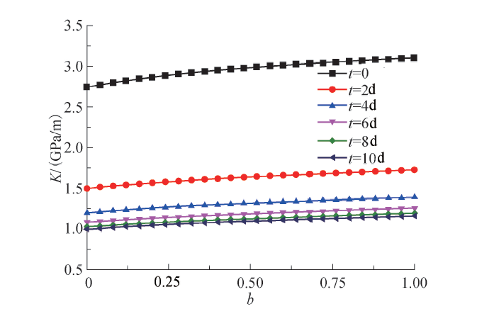
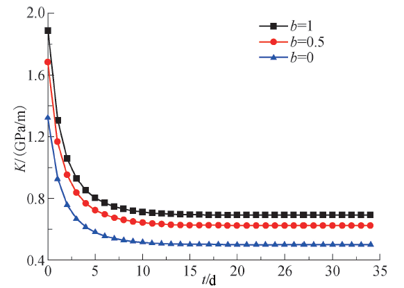
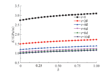
图3给出了在参数b影响下围岩时变承载系数K(t)随时间t的变化曲线.可见, 当参数b不变时, 围岩时变承载系数随着时间推移而减小, 且前2 d迅速降低, 围岩自承载能力骤降; 随后, 减小速度逐渐变缓; 最终曲线趋于平缓, 围岩时变承载系数趋于稳定值, 表明此时围岩自承能力已充分发挥.参数b取不同值时, 围岩时变承载系数随时间的变化趋势基本相似, 但是参数b取值越大, 同一时刻围岩时变承载系数越大, 这是因为参数b越大, 围岩塑性区半径越小, 围岩储能释放程度越低, 而使其自承载能力越高.
图4和图5分别是围岩时变承载系数K(t)与支护力pi和参数b的关系图.表1给出不同时间和参数b对应的围岩时变承载系数.由图4可知, 文献[3]的围岩时变承载系数是在t=0时的特例, 说明本文作者提出的围岩时变承载系数求解方法具有一定的合理性.实际工程中, 更关注围岩产生塑性区时的自承载能力, 故选取支护力小于临界支护力的情况进行分析.由式(11)计算得到临界支护力pyc=14.27 MPa.
1)由图4可知:当支护力不足以使围岩保持弹性状态时, 同一时间, 围岩时变承载系数随着支护力的增加一直增长.而且从不同时间的曲线可以看出, 初期围岩时变承载系数要比后期大得多, 后期围岩自承载系数将趋于稳定.从图4纵向看, 不同支护力情况下, 围岩时变承载系数稳定的时间基本相同, 即说明围岩自承载能力充分发挥的时间几乎一致, 但是支护力越大, 围岩时变承载系数的稳定值越大.
2)参数b反映了中间主应力对围岩力学特性的影响.由图5可见, 同一时间, 围岩时变承载系数随着参数b的增大而增大, 这表明增加中间主应力对提高围岩自承能力有利.当b=0时, 前2 d围岩承载系数降幅达到45%, 而第8 d到第10 d的降幅只有2.7%, 且参数b取值不同时, K(t)随时间增加降幅相似, 说明围岩时变承载系数在前2 d会发生骤降.
3)图5中各曲线大致平行.由表1可得, t=0时, 参数b由0增加到1, K(t)的最终增幅是13.04%; 以此类推, t=2 d、4 d、6 d、8 d、10 d时, K(t)的最终增幅分别是13.04%、15.29%、15.85%、16.07%、16.17%和16.22%.表明时间越久, 随参数b的增大K(t)增幅会越大, 这可能与围岩的力学参数劣化有关, 也说明中间主应力可增大围岩的强度和自承载能力.
| 表1 不同时间和参数b对应的K(t) Tab. 1 Values of K(t) corresponding to different b and different times |
随着隧道施工作业面不断向前推进, 作业面附近一定范围内围岩弹塑性变形的发展与应力重分布都将受到其自身的制约, 而使围岩的弹塑性变形得不到充分释放, 应力重分布不能很快完成, 称为开挖面的空间效应[19], 通常用LDP曲线描述.Vlachopoulos等[7]分别以通过数值模拟和实测数据得到的LDP曲线为基础, 其中V-D(09)方程[7]以围岩最大塑性区半径为基础, 适用于弹性和塑性围岩, 优点明显.本文作者在上述方程的基础上考虑时间因素, 给出LDP曲线的表达式.
基于V-D(09)方程的LDP曲线
基于Hoek方程的LDP曲线
式中:
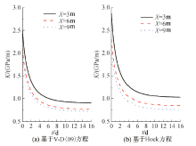
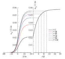
图6和图7分别是b=1时, 基于V-D(09)方程和Hoek方程的LDP曲线图, 图8是不同时刻分别基于V-D(09)方程和Hoek方程得到的LDP曲线的对比图.
1)图6表明, 基于V-D(09)方程得到的LDP曲线在开挖面后方距离开挖面越远, 隧道洞壁径向位移越大, 且增幅先大后小, 最终趋于平缓.随着时间t推移, 洞壁位移也逐渐增大, 且时间越久, 位移增长越缓慢, 直至位移增长停止, 符合实际情况.由图7可见, 基于Hoek方程得到的LDP曲线在开挖面后方隧道洞壁位移变化规律与图6相似.
2)由图8可见, 开挖面前方及开挖面处, 不同时刻同一位置处, 基于V-D(09)方程计算的洞壁位移较基于Hoek方程计算的位移小; 但开挖面后方一小段距离以后, 基于V-D(09)方程计算得到的洞壁位移就开始比基于Hoek计算得到的位移大.
3)两种LDP曲线的变化趋势类似, 基于V-D(09)方程的LDP曲线比基于Hoek的LDP曲线变化快, 而且2条曲线之间的差值随着X增大先变大后变小, 即这两种LDP曲线在开挖面处和距离开挖面足够远处契合度较好.由图8也可以看出, 随着时间推移, 洞壁位移逐渐增大, 但不是无止境的, 足够长时间后洞壁位移基本不再增加.
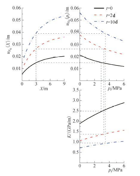
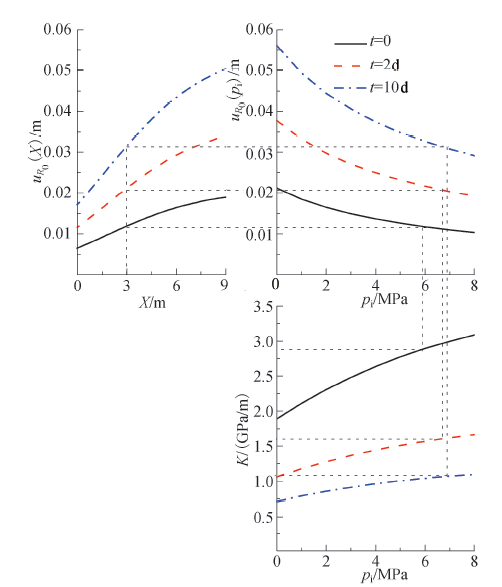
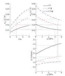
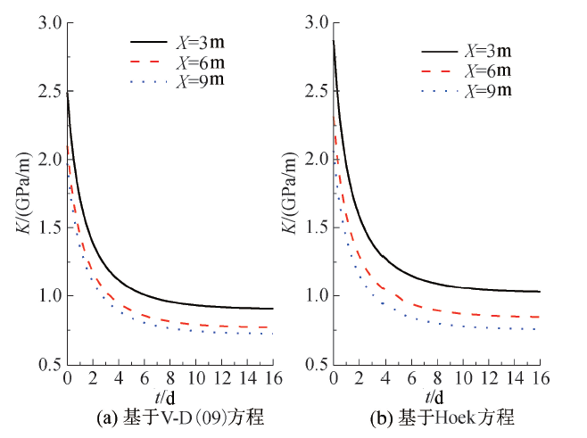
图9和图10分别是基于V-D(09)和Hoek方程的LDP曲线与GRC曲线耦合的关系图.
| 图9 基于V-D(09)方程的LDP曲线与GRC曲线耦合Fig.9 Coupling between LDP curves based on V-D(09) equation and GRC curves |
GRC曲线是动态的, 在某一时刻, 根据式(30)即可求出GRC曲线(ur-pi关系曲线).以X=3 m处为例, 由各个时间下的LDP曲线求出对应时间X=3 m处的隧道洞壁径向位移ur, 再根据GRC曲线得到隧道不同时刻的虚拟支护力pi, 最后由虚拟支护力pi即可求出X=3 m处不同时刻的围岩时变承载系数K(t).同理, 隧道开挖面后方不同距离的耦合类似.
选择X=3 m、X=6 m和X=9 m得到不同断面处围岩时变承载系数与时间的关系图11和同一断面2种耦合结果对比图12.分析得出如下结论.
1)由图11可知, 在开挖面后方同一隧洞断面处, K(t)随时间推移先迅速减小, 随后减小速度明显降低, 最终趋于平缓, 前2 d K(t)减幅最大.开挖面后方不同隧洞断面处K(t)随时间变化趋势相似, 但经过相同的蠕变时间, 距离开挖面越近的地方围岩时变承载系数越大, 即围岩自承能力越好.
2)由图12可知, 开挖面后方同一断面处, 基于V-D(09)方程耦合得到的K(t)要比基于Hoek方程耦合得到的K(t)小, 而且这种差距随着X增大而减小.
3)从图9、图10、图11可以判断同一断面, 在经过一段时间后, 围岩时变承载系数会趋于稳定, 围岩自承载能力充分发挥, 此时宜进行二次支护, 达到围岩与人工支护共同维护稳定的目的.
| 图11 不同断面处围岩时变承载系数与时间的关系Fig.11 Changing of time-varying self-bearing coefficient in different cross sections |
1)隧洞围岩自稳结构是客观存在的, 而且这种自稳结构不是静止不变的, 可以用围岩时变承载系数来描述这种自稳结构随时间的变化.从围岩时变承载系数曲线可以看出, 不同隧洞断面处的围岩自承能力随着时间变化趋势相似, 都是开挖初期围岩自承能力迅速变弱, 随后慢慢趋于稳定.而且经过相同的蠕变时间, 距离开挖面越远, 围岩自承能力越弱, 反之亦然.
2)围岩时变承载系数随着中间主应力参数b的增长而增大, 且各个时间中间主应力对围岩自承能力影响规律相似, 说明中间主应力加强了围岩的强度和承载能力.参数b越大, 围岩时变承载系数的增长幅度会随时间推移稍微变大, 这可能与围岩的力学参数劣化有关.
3)开挖面后方同一断面处, 基于V-D(09) 方程耦合得到的K(t)要比基于Hoek方程耦合得到的K(t)小, 而且这种差距随着X增大而减小.
4)通过LDP曲线与GRC曲线耦合分析可以看出, 同一隧洞断面处, 时间越早, 围岩时变承载系数越大, 围岩自承能力尚且没有充分发挥, 不宜进行二次支护.二次支护时机应该避开初期围岩自承能力变化剧烈时段.
| [1] |
|
| [2] |
|
| [3] |
|
| [4] |
|
| [5] |
|
| [6] |
|
| [7] |
|
| [8] |
|
| [9] |
|
| [10] |
|
| [11] |
|
| [12] |
|
| [13] |
|
| [14] |
|
| [15] |
|
| [16] |
|
| [17] |
|
| [18] |
|
| [19] |
|
| [20] |
|
| [21] |
|
| [22] |
|
| [23] |
|
| [24] |
|
| [25] |
|
| [26] |
|
| [27] |
|
| [28] |
|
| [29] |
|
| [30] |
|
| [31] |
|
| [32] |
|

