第一作者:刘强(1980—),男,江苏南京人,讲师,博士.研究方向为移动自组织网络、接入控制协议和自组织路由协议.email:liuq@bjtu.edu.cn.
提出了一种基于分簇结构的移动自组织网络(MANETs)接入控制协议(CM-MAC).该协议主要适用于大规模多跳移动自组织网络,采用分簇技术将整个大规模网络分成多个簇,每个簇拥有不同的工作频段,各个簇之间互不干扰.簇内采用了动态时分多址协议,每个节点根据自身业务强度动态地占用网络资源,簇与簇之间通过网关节点实现跨簇通信.本文采用了OPNET Modeler进行网络建模和仿真,仿真结果表明:在大规模拓扑网络中, CM-MAC协议比标准USAP协议的吞吐量提升了约2.2倍,时隙复用率提升了约4倍,端到端延时降低了约3倍.
CM-MAC protocol proposed is a Mobile Ad Hoc Networks (MANETs) medium access control(MAC) protocol based on clustering structure.The protocol is mainly applicable to large-scale multi-hop mobile ad hoc networks. It uses clustering technology to divide the entire large-scale network into many clusters. These clusters do not interfere with each other because each cluster has a different operating frequency band. In a cluster, a dynamic TDMA protocol is used and network resources are dynamically occupied by nodes according to their traffic lows.Inter-cluster communication is realized through gateway nodes. In the end we use OPNET Modeler software to model and simulate the CM-MAC protocol. The results show that, in the large-scale network, the CM-MAC protocol increases throughput at about 2.2 times, improves slot reuse rate at about 4 times, and reduces the end-to-end delay at about 3 times than the standard USAP protocol.
移动自组织网络(MANETs)又被称为多跳无线网(Multi-hop Wireless Network, MWN), 它是由一组带有无线通信收发装置的移动终端节点所构成的无中心的移动网络.整个网络没有固定的基础设施, 也没有固定的路由器, 网络中所有终端节点均可以自由移动, 地位平等, 并具有路由转发功能[1].
在Ad Hoc网络中, 媒体接入控制协议(MAC)是无线网络组网技术的基础, 它用于实现各用户无冲突地访问无线信道和数据传输.对于共享广播信道的Ad Hoc网络而言, MAC协议对于网络整体性能起着决定性的作用[2].
随着无线通信技术的空前发展, MAC协议逐渐成为学者们研究和关注的重点.在过去几年中, 研究人员提出了许多关于移动自组织网络的MAC协议, 这些MAC协议采用了各种不同的策略实现节点对于信道资源的分配和占用.
根据节点预约信道方式不同, MAC协议主要分为分配类和竞争类两大类[1].分配类MAC协议分为静态时隙分配协议和动态时隙分配协议[3, 4], 在文献[5, 6, 7]中提出的统一时隙分配协议(Unifying Slot Assignment Protocol, USAP)就属于典型的动态时隙分配协议.竞争类MAC协议大多数采用退避机制, 主要包括CSMA、MACA、IEEE802.11 DCF等.这些传统的MAC协议在小规模的网络中有着良好的应用, 但是在大规模网络中却存在一系列问题, 影响了整个网络系统的性能.
1)对于时隙分配协议而言, 节点数量的大幅度增加, 会使得时帧长度变长, 从而导致网络端到端延时增大.
2)对于随机接入协议而言, 节点数量的大幅度增加, 会使得信道碰撞更加剧烈, 节点之间的干扰严重, 从而降低系统性能.
3)对于整个网络而言, 随着网络规模的扩大, 网络中节点的开销不断增加, 在有限的网络带宽下, 容易造成大量的数据包堆积, 导致通信信道阻塞.
针对这些问题, 需要对现有的MAC协议进行改进, 使其适用于大规模的网络.因此, 本文作者提出了一种基于分簇结构的CM-MAC协议, 该协议采用分频的方式将网络分成若干个簇, 每个簇占用不同的工作频段, 网关节点通过跳频的方式在两个不同簇间切换.簇内采用了动态时分多址协议, 每个节点根据自身业务量的大小动态申请时隙资源, 同时提供了时隙冲突检测和相应的解决方案.CM-MAC协议实现了大规模网络分簇化, 既能方便整个网络的管理, 又能减小网络中节点的开销, 提升网络整体性能.
分簇技术[8, 9]根据系统要求按照某种规则将整个大规模的网络划分成相互连通并能够覆盖网络中所有节点的簇群.如图1所示, 每个簇由簇首节点、网关节点及普通节点构成.簇首主要是负责统一管理簇内的节点, 包括物理资源的分配、信道接入和网关的选举等.网关负责连通两个不同的簇, 使得不同簇的节点之间可以建立链路相互通信.普通节点则只具有传输和路由转发的功能.在分簇结构的网络中, 网关节点需要维护全网的路由信息, 而簇首和普通节点只需要维护簇内路由信息, 从而大大降低网络中节点的开销, 提升了网络的整体性能.
CM-MAC协议主要实现了网络分簇和信道接入控制, 该协议允许将规模较大的网络最多分成4个簇, 每个簇最多允许容纳32个节点, 全网最多允许接入128个节点.在簇内, CM-MAC协议允许节点进行邻居发现, 实现拓扑控制, 并采用动态时隙分配策略, 允许节点对时隙资源的动态占用, 同时还提供了完备的冲突检测和冲突避免.在簇间, CM-MAC协议实现网关在不同簇之间切换工作频段, 使得属于不同簇的两个节点可以通过网关进行通信.
CM-MAC协议在簇内采用了动态时隙分配策略, 其帧结构如图2所示.
CM-MAC协议的一个时帧由探测帧、控制帧、ACK帧和数据帧共4个部分组成.探测帧用来广播探测信令, 实现网关选举; 控制帧细分为n+m个控制时隙(其中n为簇内所允许的最大节点数量, m为簇的数量), 每个节点固定占用一个控制时隙, 用来广播控制信令、实现邻居发现和数据时隙的申请; ACK帧与控制帧类似, 每个节点会在ACK帧对所有邻居节点的时隙申请进行时隙确认; 数据帧细分为
1.3.1 分簇算法
现有的分簇算法包括最小节点ID分簇算法[10, 11]、最大连通度分簇算法[12, 13]和最低节点移动性分簇算法等, 这些经典的分簇算法虽然简单高效, 但都是以簇首为中, 簇首一跳范围形成一个簇.这使得在大规模的移动自组织网络中, 簇的数量较多, 簇的范围相对较小, 再加上节点可以自由移动, 造成网络结构不稳定, 不便于网络的控制和管理.CM-MAC协议摒弃了现有的分簇算法, 采用了分频的方式进行分簇, 即网络采用4种不同的工作频段, 具有相同工作频段的节点形成一个簇.由于不同的簇工作频段不同, 所以簇与簇之间是相互独立, 互不干扰的.
上述这种分簇算法属于被动分簇, 分簇策略虽然简单, 但是不需要额外的控制报文来传递与分簇相关的信息; 分簇不需要依赖完整的邻居信息; 当某些节点移动导致拓扑变化时, 簇的结构不会出现太大变化.
1.3.2 簇首指派
初始组网阶段, 在所形成的簇内, 借助最小节点ID分簇算法的思想, 指派ID最小的节点作为本簇的簇首节点.由于CM-MAC协议采用动态时隙分配策略, 所以簇首不需要统一给簇内节点分配时隙资源, 只需要管理簇内节点的入网和脱网, 这大大降低簇首节点的负担, 避免簇首节点成为网络的瓶颈.
1.3.3 网关选举
在分簇结构中, 网关节点负责维护簇间路由, 为簇间通信提供支持, 因此网关节点的性能会直接影响簇间通信的质量[14].在CM-MAC协议中, 网关选举是在探测帧完成的, 网关选举过程描述如下:
1)在探测帧开始, 全网所有节点切换到一个公共频率相互广播探测信令.
2)当某个节点收到来自另一个簇的节点发送的探测信令时, 便将自己标识为候选网关节点.
3)本簇的簇首统一计算本簇内候选网关节点的权值, 选择权值最大的候选网关节点作为网关.
4)重复上述过程, 如果网关失效, 则重新选举网关.
权值用来衡量候选网关节点适合充当网关的程度, 本文将平均接收信号强度作为候选网关节点的权值, 其计算公式为
式中:
由于在CM-MAC协议中网关只允许连通两个簇, 因此对于任意一个簇
1.3.4 邻居发现
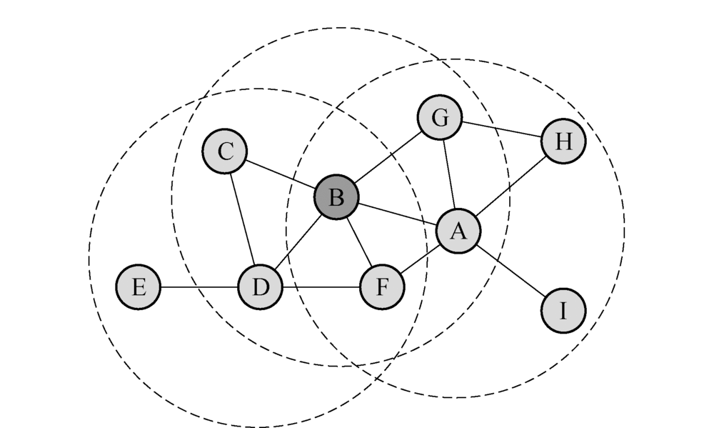
在探测帧结束后, 所有节点的工作频率切换到各自所属簇的工作频段, 接下来进入控制帧.控制帧分为许多控制时隙, 簇内的每个节点固定占用一个控制时隙.每个节点在自己占用的控制时隙内广播HELLO分组, HELLO分组中包含了源节点ID、一跳邻居信息和链路状态信息等.如图3所示, 节点B广播HELLO分组, 当A节点收到节点B发送的HELLO分组时, 便将节点B作为自己的一跳邻居, 同时获取HELLO分组中节点B的一跳邻居信息, 如节点C、节点D、节点F和节点G的信息, 并将节点B的一跳邻居作为自己的二跳邻居.这样经过多次交互后, 簇内的所有节点都会知道自己的一跳和二跳邻居.
1.3.5 时隙申请
控制帧内, 节点除发送HELLO分组用作邻居发现外, 还会发送网络控制分组 (Net Manager Operational Packet, NMOP)和ACK分组, 分别用来向邻居节点申请时隙及对邻居节点发来的NMOP分组进行确认.节点的时隙申请过程描述如下.
1)网络中的节点不断监视与每个邻居节点通信链路上的业务负载.
2)然后根据当前数据时隙的传输能力, 计算节点所需要的数据时隙数量.
3)从时隙池中查找未占用的数据时隙, 并通过NMOP分组向邻居节点发送时隙占用请求.
4)邻居节点收到请求分组后查询本地的时隙分配表, 如果时隙没有冲突, 则在ACK帧内通过回复ACK分组对邻居节点的时隙申请请求进行反馈.
在CM-MAC协议中, 节点根据自身业务负载计算所需要的数据时隙数量的公式为
式中:
1.3.6 网关切频
CM-MAC协议中, 因为网关节点需要工作在两个不同的簇, 以实现两个不同簇之间的相互通信, 所以网关节点在本簇和对簇都要发送控制信令进行邻居发现和数据时隙申请.由于不同的簇拥有不同的工作频段, 因此, 网关节点在控制帧内需要不断地切换工作频段.
本协议将网络中的簇及簇内节点进行编号, 使之具有唯一的标识.根据网关节点所属簇的簇ID大小及当前时帧循环数的奇偶性设定4种状态:
1)状态00:表示当前时帧循环数为奇数, 且网关节点本簇的簇ID小于对簇的簇ID.
2)状态01:表示当前时帧循环数为奇数, 且网关节点本簇的簇ID大于对簇的簇ID.
3)状态10:表示当前时帧循环数为偶数, 且网关节点本簇的簇ID小于对簇的簇ID.
4)状态11:表示当前时帧循环数为偶数, 且网关节点本簇的簇ID大于对簇的簇ID.
根据时帧同步可知:如果某个网关的状态为00, 则其对称网关的状态必定为01; 如果某个网关的状态为10, 则其对称网关的状态必定为11.由此, 定义网关节点的切频规则:状态为00和11的网关控制帧在本簇内进行邻居发现和时隙申请, 状态为01和10的网关控制帧切频到对簇进行邻居发现和时隙申请.
如图4所示, 网关节点A属于1簇, 网关节点B属于2簇, 按照上述的网关节点切频规则可知:在奇数时帧, 网关节点A在本簇发送控制信令, 而网关节点B则需要切频到1簇发送控制信令; 同理, 在偶数时帧, 网关节点A需要切频到2簇发送控制信令, 而网关节点B在本簇发送控制信令.通过这种网关切频方式, 可以很好的控制连通相同两个簇的两个网关始终在同一侧发送控制信令, 确保两个网关之间可以建立直连链路.
1.3.7 冲突避免
在动态时分多址协议中, 经常会存在时隙冲突的情况, 为了解决时隙冲突, 需要在申请时隙时加以限制, 保证所有节点所分配到的时隙没有冲突.在USAP协议中, 提出了“ 两跳邻域以内时隙不可复用” 的原则, 从而尽量的减少和有效地解决时隙申请冲突.本协议依旧遵循“ 两跳邻域以内时隙不可以复用” 的原则进行时隙申请, 同时, 对网关节点及网关在本簇和对簇的一跳邻居节点的时隙申请加以限制.CM-MAC协议中节点的时隙申请规则定义如下:
1)所有节点申请时隙时都遵循“ 两跳邻域以内时隙不可复用” 的原则.
2)网关节点在本簇和对簇不可同用同一个时隙.
3)网关在本簇的一跳邻居节点和网关在对簇不可同时占用同一个时隙.网关在对簇的一跳邻居节点和网关在本簇不可同时占用同一个时隙.
4)网关在本簇的一跳邻居节点和网关在对簇的一跳邻居节点不可同时占用同一个时隙.
通过定义上述的时隙申请规则, 有效的解决了节点与其两跳以内的邻居节点之间的时隙冲突, 同时也避免了网关节点在本簇和对簇时隙冲突的产生.
实验采用OPENT Modeler 16.0进行建模和仿真, 首先在OPNET仿真软件中分别实现CM-MAC协议和标准USAP协议; 然后在不同规模的仿真场景中将两种协议进行仿真对比.其场景如图5所示, 参数如表1所示.
| 表1 仿真参数 Tab.1 Simulation parameters |
在OPNET中选取不同规模的仿真场景分别运行CM-MAC协议和标准USAP协议, 然后收集仿真结果, 对比两者的负载量和端到端时延随着网络节点数量增加的变化曲线, 仿真场景规模分为小规模、中规模、大规模, 节点数分别为0~48个; 48~96个; 96~128个.
2.1.1 对网络负载量的影响
如图6所示, 网络始终加载200 kbits/s的业务流, 随着网络中节点的数量的增加, 标准USAP协议的网络负载量增加较为迅速, 而CM-MAC协议的网络负载量增加较为缓慢.这是因为在标准USAP协议中, 每个节点需要维护到达全网其他节点的路由信息, 而在CM-MAC协议中, 只有网关节点需要维护全网路由, 簇内的节点只需要建立到达簇内网关节点的路由便能够实现与簇外节点的通信.因此, 在相同的网络参数配置下, CM-MAC协议更能降低网络的负载, 减小网络中节点的开销, 可提升网络的性能.
2.1.2 对端到端时延的影响
如图7所示, 当网络中节点数量低于60个时, 标准USAP协议和CM-MAC协议的延时都很小; 节点数量超过60个时, 标准USAP协议的延时迅速增加, 甚至超过1 s, 这使得网络已经无法满足当前通信需求.CM-MAC协议随着节点数量的增加, 其延时也会增加, 但是延时变化不大, 始终在0.4 s以下.说明在大规模的网络拓扑中, 标准USAP协议已经无法满足通信的需求, 而CM-MAC协议却能保持较低的延时, 确保网络节点之间的通信质量.
2.1.3 对时隙复用率的影响
时隙复用率用来体现网络中节点对物理资源的占用率, 时隙复用率越低, 则网络中资源浪费越严重.时隙复用率计算公式为
式中:
如图8所示, 随着网络中节点数量的增加, 标准USAP协议的时隙复用率基本不变, 而CM-MAC协议的时隙复用率逐渐上升.这是由于在标准USAP协议中, 一个时帧的数据时隙总量
从搭建的仿真场景中选取包含128个节点的大规模网络, 将CM-MAC协议和标准USAP分别应用于大规模的网络中, 通过仿真对比两者在大规模网络中吞吐量、时延及时隙复用率在单个场景中的性能差异.
2.2.1 吞吐量对比
在大规模的网络拓扑中, 标准USAP协议与CM-MAC协议的吞吐量对比情况如图9所示.由对比曲线可以看出, CM-MAC协议的吞吐量约为标准USAP协议的2.2倍, 这说明在相同的网络配置下, CM-MAC协议的吞吐量更大, 网络整体性能更好.
2.2.2 端到端时延对比
图10展示了在大规模拓扑中, 标准USAP协议与CM-MAC协议的端到端时延的对比情况.由图10可以看出, 在网络收敛后, 标准USAP协议的端到端时延高达1.5 s, 而CM-MAC协议的端到端时延始终稳定0.5 s以下.这是因为在标准USAP协议中, 每个节点需要建立全网路由, 因此, 路由层需要发送更多的分组来维护路由信息, 从而容易导致网络信道阻塞, 造成端到端时延较大.
2.2.3 时隙复用率对比
图11展示了标准USAP协议和CM-MAC协议的时隙复用率对比情况.由图11可以看出, 在大规模拓扑中, 标准USAP协议的时隙复用率较低, 时隙资源浪费严重, 而CM-MAC协议的时隙复用率高达3.3, 约为标准USAP协议的4倍.这说明了相比标准USAP协议, CM-MAC协议对于物理资源的利用更加充分和高效.
本文作者设计了一种基于分簇的媒体接入控制协议, 通过将网络进行分簇管理, 来提高网络的吞吐量, 降低网络中节点的开销.本文还设计了两组对比实验:第1组对比实验将节点数量作为自变量, 通过增加网络中节点数量, 对比CM-MAC协议与标准USAP协议的网络负载和端到端时延; 第2组对比实验将CM-MAC协议和标准USAP协议均应用于大规模拓扑网络中, 对比两者的吞吐量、端到端时延及时隙复用情况.通过实验对比, 得出以下结论:
1)随着网络规模的扩大, 网络节点数量的增加, 标准USAP协议比CM-MA协议的时延变化更加迅速.
2)在128个节点的网络拓扑中, CM-MAC协议比标准USAP协议的吞吐量提升了约2.2倍, 时隙复用率提升了约4倍, 端到端延时降低了约3倍.
3)CM-MAC协议相比标准USAP协议更能适用于大规模的移动自组织网络.
虽然CM-MAC协议在仿真实验中表现出较好的性能, 但是还存在一定的不足, 主要表现在分簇算法过于简单, 并且未能考虑优秀的分簇算法对于整个协议性能的提升.针对这些不足, 会在后续的工作中进一步改进CM-MAC协议.
The authors have declared that no competing interests exist.
| [1] |
|
| [2] |
|
| [3] |
|
| [4] |
|
| [5] |
|
| [6] |
|
| [7] |
|
| [8] |
|
| [9] |
|
| [10] |
|
| [11] |
|
| [12] |
|
| [13] |
|
| [14] |
|

