第一作者:王超(1989-),男,北京市人,工程师,硕士.研究方向为铁道机车车辆.email:12125805@bjtu.edu.cn
基于Hertz接触理论与滚子切片理论,对高铁圆锥滚子轴承中不同凸形的滚子与滚道间的接触问题进行了数值分析.建立了滚子-滚道接触应力与接触载荷计算模型,对CRH3型高铁用轴承进行实例分析,求解其在滚子母线方向上的应力与载荷分布,并计算对数曲线型滚子在满载情况下的最佳凸度量.结果表明:滚子的应力集中程度与所受载荷大小相关;滚子的对数曲线型只能减小并不能消除滚子的应力集中现象;滚子的最佳凸度量略小于理论凸度值.
Based on Hertz contact theory and roller strip theory, this paper has made the numerical analysis on contact properties between roller with different convexities and raceway of tapered roller bearing of high speed rail. The contact stress and contact load calculation models between roller and raceway are established and the example analysis is made on CRH3 high-speed rail(HSR) axle box bearing and the stress and load distribution in the direction of roller generatrix are solved and the optimal roller crowning of logarithmic curve roller is calculated under the condition of full load. Results show that the degree of stress concentration on roller is associated with the magnitude of load, logarithmic profile of roller can only reduce and fails to eliminate the stress concentration, the optimal roller crowning is lightly less than theoretical convexity.
高铁轴箱圆锥滚子轴承作为高铁的关键零部件之一, 其运行过程中状态的好坏直接对行车安全构成重大影响[1].在列车运行过程中, 作为轴箱主支承的双列圆锥轴承会受到复杂交变载荷作用, 其滚子与滚道的接触区域将产生复杂的耦合变形和应力集中现象.圆锥滚子轴承的滚子凸度设计是在保证轴承力学性能的基础上, 提高其接触及磨损性能的重要手段.合理的滚子凸度设计不仅会减少轴承滚子-滚道的摩擦磨损, 同时能够有效降低滚子-滚道间的接触应力, 而设计或选型不当不仅会使轴承加速磨损, 降低轴承使用寿命, 甚至将影响列车整体可靠性及性能, 给列车的安全运行带来隐患[2].因此, 对高铁轴箱圆锥滚子轴承的滚子进行凸度设计就显得尤为重要.
国内外学者对于滚子凸度进行了大量的研究, K.L.Johnson[3]、K.P.Singh[4]和M.J.Hartnett[5]等给出了多种经典的圆锥滚子凸度量公式及数值解法, 但是这种理论修型量仅在设计载荷下才正确, 且无法显示表面轮廓与接触压力分布之间的关系.而随着计算机辅助设计的广泛应用, 利用有限元软件建立静态受载下轴承滚子与滚道接触副的有限元模型成为了凸度研究的主要方法[6, 7], 该方法在合理等效模型的基础上能够直观、有效地反映各种不同凸形的滚子上的应力分布状态, 但其计算时间长, 对模型可靠性要求较高, 不适用于轴承选型及设计阶段对滚子凸度的优化分析; 同时有限元分析结果精度受边界条件及模型状态影响较大, 不利于精细化的高铁圆锥滚子轴承滚子的凸度设计.
随着数值分析技术的发展, 数值分析方法在各领域结构优化设计及选型中应用越来越广泛.针对上述问题, 本文作者采用数值分析方法对高铁圆锥滚子轴承滚子-滚道接触问题进行了研究, 并根据4种不同凸形的高铁圆锥滚子轴承的母线方程, 基于Hertz接触理论与切片理论, 建立了滚子应力分布计算和接触载荷计算的理论模型.最后结合工程实例, 对高铁轴箱轴承进行了圆锥滚子的凸度量设计.
根据高铁轴箱轴承的实际运行工况, 对目前实际应用于高铁轴箱轴承的4种主要滚子凸形进行分析, 4种分别为直母线型滚子、圆弧全凸型滚子、圆弧修正型滚子和对数曲线型滚子[8], 其几何结构如图1所示, 图中, 以滚子母线中心长度处作为坐标原点O, x轴为接触面公切线方向, y轴为滚子素线方向, z轴为滚子受力方向, L为滚子的长度, Le 为滚子的有效接触长度, Lm 为滚子两端圆弧区的长度, R为滚子母线的曲率半径, $\delta$为凸度量.
传统的直母线圆锥滚子轴承如图1(a)所示, 在加工制造时会尽量把滚子外表面加工成圆锥面, 以希望滚子受到的载荷能沿其母线方向均匀分布.但是滚子与滚道的接触区域中存在着严重的边缘效应, 滚子与滚道间的早期接触疲劳常常发生在滚子端部或是滚道上靠近滚子端部的区域, 因此, 在工程实际中往往都会对直母线滚子进行修型加工来降低边缘效应.
圆弧全凸型滚子的几何形状如图1(b)所示, 其滚子母线是一个具有固定曲率的完整圆弧, 在滚子两端并没有突变的倒角.在轻载工况下, 圆弧全凸型滚子与滚道的有效接触长度很短, 近似于点接触, 其接触区域为一个近似的椭圆, 因此极有可能会引起滚子的偏移及轴承的偏载, 引起接触区域的应力分布不均匀, 随着轴承所受载荷的增加, 滚子与滚道间的接触长度会逐渐增大, 偏载情况会有所改善[9].
由图可知, 圆弧全凸型滚子的凸度量、滚子母线的曲率半径、滚子长度存在着如下的几何关系:
为了解决圆弧全凸型滚子易在轻载工况下出现的偏载问题, 学者们设计制造了圆弧修正型滚子, 其几何形状如图1(c)所示.该凸形的滚子母线由一段直线和两段直径较大的圆弧构成, 这种特殊的修正方式使得圆弧修正型滚子与滚道的有效接触长度可以达到滚子自身长度的70%左右, 这样就避免了圆弧全凸型滚子中存在的由于接触长度较小而引起的偏载问题, 但是该凸形的滚子对直线与圆弧相交的过渡区的加工工艺提出了很高的要求[10].
圆弧修正型滚子的母线方程为
其中滚子母线的曲率半径为
圆弧修正型滚子的凸度量
式中
对数曲线型滚子的形状如图1(d)所示, 其滚子母线是由两条对称的对数曲线构成, 该母线中间部分近似于直线, 但在滚子的端部却变化很快.其母线方程为[11]
式中:k1为载荷综合系数; k2为凸度长度与1/2有效接触长度的比值; E'为接触副的综合弹性模量. 2 高铁圆锥滚子轴承的接触问题
高铁轴箱轴承为双列圆锥滚子轴承, 其滚子与滚道的接触属于线接触的情况[12].将滚子与滚道等效为2个具有光滑表面的柱体, 如图2所示, 其Hertz假定接触应力分布图如图3所示.图中, 滚子的曲率半径为R1, 滚道的曲率半径为R2, M(x, y, z)、N(x', y', z')是滚子与滚道上位于同一平面内的两个点, z1 、z2分别为滚子在M、N两点趋近于滚子接触线的值, 在载荷Q的作用下, 界面上产生宽度为2a的接触区, 最大接触应力为P0.
罗继伟等[12]给出了滚子与滚道接触的基本方程与Hertz接触应力函数, 分别为
式中:
接触区域应力为
其中
a为接触区域一半的宽度
圆锥滚子在垂直于其素线的方向, 其截面是大小不同的椭圆, 这些椭圆在接触点附近的曲率各不相同, 因而他们的接触状态也就不同.
沿滚子素线方向将可能的接触区域划分为
为方便计算, 在图4与图5中定义了变量
式中:D min和D max是滚子小端与大端直径; $\beta$为滚子半锥角; m与n分别为
设
则椭圆短半轴可表示为
式中:
因此, 由式(13)与式(17)得出, 椭圆截面在接触点附近的曲率半径为
可知:
因此椭圆截面在接触点
由文献[13]得, 内滚道与外滚道在接触点
式中:D1i、D2i 分别为内、外滚道在接触点i处平行于滚道端面的截面直径; $\alpha$为滚道接触角.
本文选用我国CRH3型高速列车圆锥滚子TBU-BT2-8545-AD的SKF轴承进行分析, 根据文献[14]所述, 我国CRH3动车组的编组质量为380 t, 时速为300 km/h, 车轮直径920 mm, 轴承转速约为1 730 r/min.由SKF公司的轴承产品装配图可知, 其轴承外径240 mm, 内径130 mm, 轴承宽度160 mm、节圆直径180.5 mm, 接触角10° , 滚动体数18个、滚子直径23 mm.
根据上述的理论模型及不同凸形的轴承滚子母线方程, 取满载、半载、空载3种载荷情况, 运用MATLAB软件编写程序, 根据罗继伟等[12]提供的圆锥滚子轴承载荷分布的计算方法, 取满载情况下受载最大的滚子载荷为7.91 kN, 半载情况下受载最大的滚子载荷为7.56 kN, 空载情况下受载最大的滚子载荷为7.12 kN, 分别计算4种凸形的滚子轴承的接触应力与接触载荷, 得到结果如图6~图9所示.
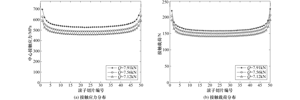
| 图6 直母线型滚子的接触应力与接触载荷分布Fig.6 Contact stress and contact load distribution of rectilinear generator roller |
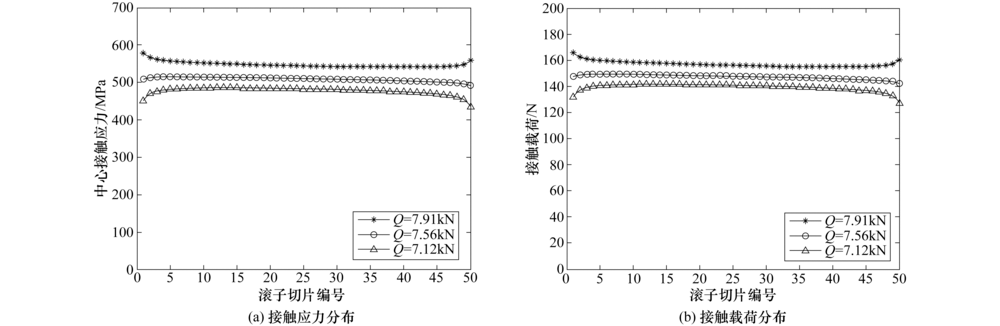
| 图8 圆弧修正型滚子的接触应力与接触载荷的分布Fig.8 Contact stress and contact load distribution of arc correction-type roller |
| 图9 对数曲线型滚子的接触应力与接触载荷分布Fig.9 Contact stress and contact load distribution of logarithmic curve roller |
由图6知, 直母线型圆锥滚子的滚子两端出现了严重的应力集中现象, 其在满载情况下滚子两端的接触应力达到了691.65 MPa和687.47 MPa, 滚子小端接触应力略高于滚子大端的接触应力, 且随着滚子所受载荷的增加, 其两端的接触应力的变化幅度增大, 应力集中的边缘效应更加的明显.
由图7可知, 圆弧全凸型滚子的应力分布及载荷分布与其滚子母线几何形状及受载情况有很大的联系, 随着载荷的增加, 其母线与滚道的接触长度越大, 应力和载荷分布的变化也会越平缓.其最大应力出现的部位位于圆弧型母线的弧顶偏右侧的位置, 在列车满载的情况下, 最大中心接触应力为648.07 MPa, 最大接触载荷为194.61 N.
由图8可以看出, 在圆弧修正型滚子的中间直母线部分, 滚子与滚道之间的接触应力和接触载荷分布的比较均匀, 相比于完全的直母线型滚子, 在滚子两端的部分, 圆弧修正型滚子能够令接触应力与载荷迅速降低, 有效避免了边缘效应的产生.但是在直母线与圆弧母线相连接的部分, 出现了一定的应力集中, 在满载情况下其最大接触应力大小约为581.16 MPa, 最大接触载荷约为174.04N.在轻载情况下, 该应力集中并不明显, 但是随着滚子受载的增大, 应力集中的现象与增长幅度不断增加.
由图9知, 由于对数曲线型滚子的母线曲率并无突变的部分, 因此其较好的解决了圆弧修正型滚子在母线曲率变化处产生的应力集中, 其接触应力与载荷沿滚子轴线方向分布均匀, 从滚子中部到端部平滑变化, 列车满载时, 其最大接触应力约为581.76 MPa, 滚子切片的最大接触载荷约为164.97 N.在轻载情况下, 滚子两端的接触应力与接触载荷小于滚子中部的平均应力与载荷, 而随着载荷的增加, 滚子两端的接触应力也逐渐的接近甚至大于滚子中部的平均应力, 因此可以得知, 对数曲线形滚子修型, 只能降低和减弱滚子的边缘效应, 无法完全避免和消除滚子两端的应力集中.
根据轴承的实际受载情况, 取列车满载情况下受载最大滚子所受载荷Qmax=7.91kN, 由文献[5]可知k1=1.2, k2=0.5, 对数修型的凸度量的理论设计计算公式为
由以上高铁轴箱轴承的凸形分析可知, 列车满载时, 4种凸形滚子中对数曲线型滚子的最大接触应力和滚子切片的最大接触载荷最小.由式(24)得理论凸度量为0.012 mm, 围绕理论凸度量取一系列凸度值, 根据式(5)带入上述编写的程序进行计算, 取滚子的最大接触应力进行对比分析, 如图10所示.
由图可知, 滚子在所受假设载荷的情况下的最佳凸度值约为0.011 mm, 略小于理论凸度值, 在该凸度下滚子切片的最大接触应力为576.07 MPa, 最大接触载荷为158.32 N.
本文基于Hertz接触理论和滚子切片理论, 结合不同凸形下的滚子母线方程, 构造滚子与外滚道接触应力及接触载荷的理论模型.根据此理论模型, 对TBU-BT2-8545-AD型高铁轴箱轴承进行了4种最常见的修型方式的数值分析, 求解其在滚子母线方向上的应力分布与载荷分布, 并且计算对数曲线型滚子在满载情况下的最佳凸度量.所得主要结论如下.
1)直母线型圆锥滚子两端的应力集中的程度与所受载荷的大小相关, 滚子所受载荷越大, 边缘效应越剧烈;
2)圆弧全凸型滚子虽然能够降低最大中心接触应力, 但只有在满载荷的情况下, 其应力集中现象才会有所改善;
3)圆弧修正型滚子大大降低了滚子与滚道接触应力的平均值, 但是其圆弧型母线与直线段母线的交界处存在着一定的应力集中现象, 并且随着滚子所受载荷的增加, 这种应力集中愈加明显;
4)对数曲线型滚子并不能完全消除滚子两端的应力集中现象, 随着滚子所受载荷的增加, 对数曲线型滚子的两端仍然会出现应力大于滚子中部的现象;
5)滚子凸度量的设计取决于滚子所承受的载荷, 在满载情况下, 最佳凸度量略小于理论凸度值;
6)虽然不能避免应力集中现象, 但在同样所受假设载荷的情况下, 对数曲线型滚子的凸度量设计更能减小滚子应力集中现象, 工程实例中可参考对数曲线型滚子的凸度量设计方法设计高铁轴箱圆锥滚子轴承滚子的凸度量.
The authors have declared that no competing interests exist.
| [1] |
|
| [2] |
|
| [3] |
|
| [4] |
|
| [5] |
|
| [6] |
|
| [7] |
|
| [8] |
|
| [9] |
|
| [10] |
|
| [11] |
|
| [12] |
|
| [13] |
|
| [14] |
|

